Artículo científico
COMPARACIÓN DE MAPAS DE PREFERENCIA MEDIANTE EL ANÁLISIS DESCRIPTIVO CUANTITATIVO Y PERFIL FLASH EN HAMBURGUESAS
Comparison of preference mapping through quantitative descriptive analysis and flash profile in hamburgers
Emmanuel de Jesús Ramírez-Rivera1, José Manuel Juárez-Barrientos1, Jesús Rodríguez-Miranda2, Sergio Alberto Ramírez-García3, Nemesio Villa-Ruano3, Lorena Guadalupe Ramón-Canul3*
1 Colegio de Postgraduados Campus Veracruz, Programa en Agroecosistemas Tropicales.
2 Instituto Tecnológico de Tuxtepec. División de estudios de postgrado.
3 Universidad de la Sierra Sur, Guillermo Rojas Mijangos s/n, esquina Av. Universidad, colonia Ciudad Universitaria, CP. 70800, Miahuatlán de Porfirio Díaz, Oaxaca, México.
*Autor de correspondencia: l_g_r_c@hotmail.com
Artículo recibido el 24 de enero de 2014
Aceptado el 28 de agosto de 2015
RESUMEN
En la presente investigación se muestra el uso del perfil flash (PF) como base para la generación del mapa externo de preferencias (MEP) y su comparación con el MEP convencional, realizado con la técnica del análisis descriptivo cuantitativo (QDA®). Las formulaciones de hamburguesas de barrilete negro (Euthynnus lineatus) se caracterizaron empleando un panel entrenado, un panel sin entrenamiento y un grupo de consumidores. El panel entrenado realizó la caracterización sensorial mediante la técnica QDA®, el panel sin entrenamiento mediante la técnica PF y el grupo de consumidores únicamente otorgó la preferencia o rechazo. Se aplicaron análisis de varianza para determinar el desempeño de cada panel en la discriminación, análisis multivariados para la representación sensorial de las hamburguesas y la técnica del mapa externo de preferencias (MEP), modelos vectorial y circular asociado con el coeficiente de determinación (R2), para comparar el ajuste entre los datos. Los resultados mostraron que el panel PF tuvo un mejor desempeño de discriminación en algunos atributos sensoriales que concuerdan con los atributos evaluados por el panel QAD®. El R2 determinó que el mejor ajuste de los datos hedónicos-descriptivos para el MEP modelo vectorial fue con los datos del PF y para el caso del modelo circular fueron similares. En conclusión, el uso del PF para la construcción del MEP es una opción rápida y comparativa al MEP convencional para la búsqueda de atributos sensoriales que tengan conexión con la parte hedónica de los consumidores.
Palabras clave: Barrilete negro, consumidores, jueces entrenados, modelo circular, modelo vectorial
ABSTRACT
This study shows the use of flash profile (FP) as the basis for the generation of external preference mapping (EPM) and its comparison with conventional EPM, carried out by means of the quantitative descriptive analysis (QDA®) technique. The formulations of black skipjack (Euthynnus Uneatus) hamburgers were characterized utilizing a trained panel, an untrained panel, and a group of consumers. The trained panel carried out the sensory characterization utilizing the QDA® technique, the untrained panel utilized the FP technique, and the group of consumers solely gave preference or rejection. Variance analyses were implemented in order to determine the performance of each panel with regard to discrimination, multivariate analyses for the sensory representation of the hamburgers and the EPM technique, vector and circular models associated with the coefficient of determination (R2), in order to compare the adjustment between the data. The results showed that the FP panel had a better discrimination performance on some sensory attributes that correspond with the attributes evaluated by the QDA® panel. The R2 determined that the best adjustment of the hedonistic-descriptive data for the EPM vector model was with the data of the FP, and was similar for the case of the circular model. In conclusion, the use of FP for the construction of EPM is a quick and comparative option to conventional EPM for the search of sensory attributes that have a connection with the hedonic part of the consumers.
Key words: Black skipjack; consumers; trained judges; circular model; vector model
INTRODUCCIÓN
El mapa de preferencia (MP) es una metodología que proporciona información sobre las reacciones de los consumidores, basándose en la descripción de las diferencias sensoriales entre diversos alimentos. Esta metodología se clasifica en mapa interno de preferencias (MIP) y mapa externo de preferencias (MEP), ambas metodologías se desarrollan sobre un análisis de componentes principales (ACP) (Plaehn 2009). El MIP muestra la preferencia de los consumidores por un determinado alimento. Sin embargo, el MEP determina las causas de la preferencia de los consumidores, basándose en sus características sensoriales (Cariou et al. 2014). Las técnicas descriptivas convencionales como el análisis descriptivo cuantitativo (QDA®) se usan para la generacián del MEP (Ares et al. 2011, Worch et al. 2012). El QDA® se considera como el método ideal para la caracterización sensorial de los alimentos, debido a que proporciona una descripción completa y detallada de las propiedades sensoriales de la muestra en estudio; sin embargo, esta técnica cuenta con desventajas, relacionadas con los tiempos en el entrenamiento de los jueces y los costos de mantener el panel sensorial (Worch et al. 2012).
Dentro de las técnicas de caracterización rápida destaca el Perfil Flash (PF) (Dairou y Sieffermann 2002), el cual, ha sido aplicado para la caracterización de diferentes alimentos con jueces o consumidores, por lo que dicha técnica sensorial puede ser una alternativa para la construcción del MEP, debido a que aporta resultados similares a los generados por el MEP convencional (Dehlholm et al. 2012, Gkatzionis et al. 2013). Por lo anterior, el objetivo de la presente investigación fue realizar una comparación del mapa externo de preferencia vía QDA® Y perfil flash, usando modelos vectoriales y circulares para determinar la preferencia de los consumidores de hamburguesas de barrilete negro (Euthynnus lineatus).
MATERIALES Y MÉTODOS
Condiciones experimentales de la muestra
Para la elaboración de las hamburguesas se utilizó barrilete negro (Euthynnus lineatus), el cual tiene un alto contenido de hierro y proteínas. Además de que tiene poca demanda por parte del consumidor, por lo que se le quiere dar un valor agregado (Vidal et al. 2013).
Se realizaron cinco formulaciones (Tabla 1) de hamburguesas elaboradas, a partir de filetes de barrilete negro (Euthynnus lineatus) de acuerdo con la metodología de Malgarejo y Maury (2002). Las hamburguesas se codificaron con tres dígitos al azar. A los jueces y consumidores se les sirvió una hamburguesa de cada formulación (35 g ± 3 g) a temperatura de 45 ± 2 °C. Para neutralizar sabores y resabios se utilizó agua con galletas sin sal (García et al. 2013). Las muestras se sirvieron de forma monádico secuencial y simultánea múltiple a los jueces y consumidores. Las pruebas sensoriales se realizaron en cabinas con iluminación blanca.
Caracterización sensorial mediante la técnica QDA® y PF
Para la caracterización sensorial de las hamburguesas de barrilete negro se conformaron dos paneles. El primer panel se formó por seis jueces con experiencia en descripción sensorial de alimentos derivados de la pesca, con edades entre 25 y 35 años, a los cuales se les aplicó la técnica descriptiva (QDA®). Se realizaron 25 sesiones de entrenamiento, con tres catas en el mismo día, con intervalos de una hora como mínimo entre repetición; para evaluar el desempeño del panel. Cada sesión duró entre 45 y 50 min. El vocabulario sensorial se estableció de acuerdo con la media aritmética y en consenso entre los jueces (AFNOR 1995). El vocabulario sensorial que se evaluó fue textura grasosa al tacto, olor a res, olor a pescado, olor a aceite, suave en boca, dulce, aroma a pescado y aroma a res; para luego efectuar una sesión de entrenamiento sobre el uso de la escala. Posteriormente se realizaron las sesiones de evaluación de las hamburguesas de acuerdo al vocabulario sensorial establecido, los atributos sensoriales se evaluaron sobre una escala continua de cero a nueve, con leyendas en los extremos; donde el cero representó débil intensidad y el nueve fuerte intensidad (Worch et al. 2010). Se aplicó el diseño experimental cuadrado latino para aleatorizar y balancear el servido de las muestras para cada juez con el objetivo de equilibrar el efecto entre las muestras (Worch et al. 2010).
Para la caracterización sensorial mediante la técnica del PF, se seleccionaron personas que consumieran habitualmente barrilete negro y que tuvieran interés en participar en la prueba. El panel estuvo formado por cinco consumidores con edades entre 20 y 24 años. El procedimiento del PF se realizó en cuatro sesiones de acuerdo con Dairou y Sieffermann (2002). En la primera sesión, se les presentaron las muestras de hamburguesas y se les pidió que generaran una lista de atributos sensoriales que les permita discriminar las muestras. Para ayudar a los consumidores en el desarrollo de los atributos sensoriales, se les instruyó sobre la generación y agrupación de los atributos en las dimensiones de apariencia, textura, olor y aroma. En la segunda sesión, se les solicitó comparar sus listas con el objetivo de asegurarse de no haber omitido alguna dimensión sensorial. En la tercera, cuarta y quinta sesión, se les pidió clasificar las muestras de hamburguesas, en cada atributo, sobre una escala ordinal de baja a alta intensidad (Vidal et al. 2013). Cada sesión tuvo una duración de entre 30 a 50 min. Entre cada evaluación se dejó una hora de descanso para evitar el efecto de acostumbramiento.
Estudio de consumidores
El estudio de consumidores se realizó con 100 estudiantes de la Universidad del Mar, cada consumidor asignó un valor de preferencia para cada hamburguesa sobre una escala hedónica de nueve puntos, donde uno significó me disgusta extremadamente y nueve me gusta extremadamente (Worch et al. 2012).
El desempeño del panel entrenado se evaluó con un modelo mixto ANOVA de dos factores con interacción (muestra x Juez):

Dónde: Yij representa el resultado de un juez i para la muestra j,μ es la media general, αi es el efecto juez (consenso en el uso de la escala), βj es efecto de la muestra (discriminación), αβij es el efecto de la interacción muestra por juez (clasificación de las hamburguesas sobre la escala de intensidad) con un α= 0.05 y eij es el término error del modelo. Se consideró como efecto aleatorio el factor juez mientras que el factor muestra como fijo (Tomic et al. 2010, Ares et al. 2011).
La determinación del poder discriminante de cada sujeto no entrenado se evaluó con un ANOVA de un factor, tomando el valor de la prueba de Fisher como índice del poder discriminante y p como efecto de significación de cada atributo sensorial, con α = 0,05 (Gkatzionis et al. 2013, Vidal et al. 2013). En la determinación de diferencias significativas en las preferencias de los consumidores se aplicó el ANOVA con dos factores con un α = 0.05 (Endrizzi et al. 2014).
El mapa sensorial de los datos del QDA® se generó con el análisis de componentes principales (ACP), mientras que el espacio sensorial con los datos PF se efectuó con la prueba multivariada de análisis generalizado procrusteno (AGP), esta prueba contribuye con la eliminación de fuentes de variación maximizando la información en el espacio sensorial, revelando las similitudes y diferencias entre las muestras (Gkatzionis et al. 2013, Vidal et al. 2013). Los mapas sensoriales de ambas técnicas se generaron con atributos sensoriales con valores de p < 0.05.
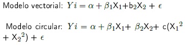
La construcción de los MEP se realizó de la siguiente forma: 1) los consumidores se agruparon en clases por sus similitudes en sus calificaciones, por su clasificación jerárquica ascendente (CJA) por el método de Ward (Schmidt et al. 2010), y 2) los mapas sensoriales del QDA® y PF se correlacionaron con las clases de consumidores formados por la CJA para obtener los MEPS de modelo vectorial y circular siguiente:

Dónde: X y Y representa las coordenadas de la muestra en el primer y segundo componente principal, Yi es el resultado hedónico asignado por un consumidor hacia la muestra, los α y β1 son los coeficientes del modelo ε es el termino error del modelo (Le y Worch 2014).
La evaluación del mejor ajuste de los datos descriptivos (X), hedónicos (Y) para cada modelo de MEP se efectuó con el coeficiente de determinación (R2) (Worch, 2012). Los resultados de los modelos ANOVAS se obtuvieron con el programa Statgraphics® Plus, versión 5.1, mientras que el ACP, AGP, CJA y los modelos de MEP se realizaron con el programa XLSTAT® para Microsoft Excel® versión 7.5.
RESULTADOS
Desempeño del panel QDA
Los jueces fueron discriminantes en todos los atributos sensoriales (p < 0.05), en tanto que la Fjueces reveló desacuerdos entre los jueces en la evaluación de los atributos suave en boca y dulce, mientras que la Finteraccion demostró diferencias en la clasificación de las hamburguesas sobre la escala para los atributos olor a res, olor a pescado, olor aceite, suave en boca y aroma a pescado ( Tabla 2 )
Desempeño del panel PF Cada consumidor generó entre nueve y 16 atributos para un total de 54 atributos sensoriales. El mayor efecto discriminante con altos valores de la prueba de F y p < 0.001, se observó en los atributos de aspecto visual, mecánico, nasal y retro-nasal. Comparación de la caracterización en el espacio sensorial entre el QDA y PF En la Figura 1 se muestra el mapa sensorial QDA, que explica el 85.59 % de la variabilidad con los dos primeros ejes principales, por lo que, las muestras de hamburguesas NBF y 34C forman un grupo opuesto a las muestras 2MZ y LOW, mientras que la muestra KAP se encuentra alejada del resto de las muestras, siendo esta última la que se caracteriza por tener mayor aroma y olor a pescado. En tanto que las muestras NBF y 34C, se caracterizan por tener mayor aroma, olor a res, dulce y suave; en tanto que las muestras LOW y 2MZ, se percibe una textura grasosa y olor a aceite. El mapa sensorial del PF (Figura 2), explica, el 87.47% de la variabilidad con los dos primeros ejes principales. Revela que las muestras NBF y 34C son un grupo, opuesto a las muestras 2MZ y LOW. Mientras que la muestra KAP se ubica alejada del resto de las muestras, la cual tiene atributos visuales (color café y aspecto aceitoso), nasal (olor a pescado) y en boca (dura, elástica y aroma a pescado). Mientras que las muestras 2MZ y LOW tienen características de textura rugosa, grumosa, olor a carne asada, suave en boca y aroma a pan. En tanto que las muestras NBF y 34C se caracterizaron por tener atributos de suave en la boca, olor a res y granuloso en boca. En lo referente al termino textura grasosa, este se ubicó en el origen de la figura, lo que indica que es un atributo típico de las muestra. Interpretación y comparación de modelos de MEP vía QDA® y PF Los resultados del ANOVA mostraron efecto significativo en ambos factores (FMuestra= 3.97, p<0.0001 y FConsumidor=2.72, p < 0.05), lo que indica la existencia de heterogeneidad en la preferencia de los consumidores. Mediante la aplicación de la CJA se formaron cuatro clases de consumidores de acuerdo con las similitudes de las calificaciones; con 7, 13, 56 y 25 consumidores en cada clase, respectivamente. El MEP modelo vectorial QDA®
indica que las muestras 34C y NBF fueron preferidas por los consumidores que forman la clase uno y tres, lo cual, se puede deber al aroma y olor a res, dulce y suave de la muestra (Figura 3). La muestra LOW fue preferido por los consumidores de la clase cuatro, debido a la textura grasosa y olor a aceite. Mientras que los consumidores de la clase dos mostraron preferencia por la muestra 2MZ. Los resultados del MEP modelo vectorial vía PF (Figura 4) indican que las muestras NBF y 34C son preferidos por los consumidores de la clase uno y tres, está reacción es igual a la obtenida por el MP vía QDA®. El PF ayudó a visualizar otros atributos sensoriales como suave en boca, olor a res, granuloso en boca y aroma a res, los cuales pudieron contribuir a la reacción de preferencia por parte de los consumidores. La poca preferencia hacia la muestra LOW puede deberse a los atributos sensoriales que tiene, mientras que la muestra 2MZ fue preferida por la clase dos, lo anterior puede deberse a los atributos de textura rugosa y granulosa en la boca. En la Figura 5 se muestra el MEP modelo circular vía PF, donde se observa que los consumidores de la clase uno y tres presentaron preferencias por las muestras NBF y 34C, mientras que la clase dos presentó rechazo por todas las muestras de hamburguesas; en tanto que la clase cuatro presentó signo ideal positivo para las muestras 2MZ y LOW. En el MEP modelo circular QDA® (Figura 6), se observa que los consumidores de la clase uno y tres mostraron un punto ideal positivo y, al mismo tiempo, los consumidores de la clase dos mostraron un comportamiento de rechazo por las muestras NBF y 34C. Mientras que los consumidores de la clase cuatro mostraron un punto ideal positivo por las muestras LOW y 2MZ. Los resultados del R2 muestran que la conexión entre los datos descriptivos-hedónicos para la clase uno fueron bajos en ambos modelos de MEP y técnicas descriptivas. Para las clases dos, tres y cuatro la mejor explicación de las preferencias se tuvo con el MEP modelo vectorial asociado con los datos del PF, mientras que para el modelo circular los resultados de R2 fueron similares entre ambas técnicas sensoriales; por lo que la preferencia de las clases se puede explicar de forma similar (Tabla 3). DISCUSIÓN Efectos similares de discriminación del panel QDA, fueron observados por Ramírez et al. (2010) quienes reportan que el panel fue discriminante en los atributos sensoriales olor a pescado, suave en boca y aroma a pescado de salchichas elaboradas con Euthynnus lineatus. El desacuerdo entre los jueces se puede deber a la falta de homogeneidad en las calificaciones, lo que origina significancias en los factores juez e interacción (Tomic et al. 2010). El número de atributos sensoriales generados mediante la técnica PF en esta investigación es similar a lo reportado por Gkatzionis et al. (2013) y Vidal et al. (2013) quienes usaron la misma técnica descriptiva. Sin embargo, las diferencias en la generación de atributos sensoriales entre los consumidores y los jueces entrenados de la presente investigación, pueden deberse a factores intrínsecos y extrínsecos de la muestra, aunado a los eventos de consumo, ya que el panel por lo general consume este recurso marino (Sester et al. 2013). En el aspecto del desempeño, la discriminación del panel de consumidores fue superior al panel entrenado en algunos atributos, este efecto se puede deber a que los consumidores no usan los mismos términos sensoriales del QDA (Lassoued et al. 2008). A nivel multidimensional el porcentaje de varianza del mapa sensorial QDA® fue superior al reportado por Ramírez et al. (2010) e inferior al reportado por Gkatzionis et al. (2013). Estas diferencias pueden deberse al nivel de entrenamiento y conocimiento de los jueces sobre las muestras. Los porcentajes de varianza entre ambas técnicas sensoriales fueron similares, por lo que las muestras de hamburguesas fueron evaluadas de manera similar, es decir, la distancia de las muestras en el espacio sensorial fue similar entre consumidores y jueces entrenados (Worch et al. 2010). Las diferencias encontradas en la preferencia de los consumidores puede deberse a la diversidad sensorial percibida en las hamburguesas y al uso de la escala hedónica, la que contribuye con la discriminación entre las muestras (Hein et al. 2008). En la comparación de los MEP para cada clase de consumidor, se observa que para la clase uno, los vocabularios generados no pueden explicar la preferencia de los consumidores de esta clase, lo que genera altos valores de probabilidad y cortas longitudes de flechas en el MEP modelo vectorial. Una de las razones por la cual se obtuvieron valores de R2 superiores al MPE-QDA®, es que el vocabulario generado por los consumidores se considera global, con respecto al vocabulario generado por jueces entrenados, lo que da una explicación de la preferencia. Al respecto Cadena et al. (2014) encontraron que los consumidores proporcionan atributos sensoriales similares a los de un panel, por lo que los consumidores pueden usarse para la descripción sensorial, ya que proporcionan un efecto positivo y claro de la preferencia. Los valores de R2 de la presente investigación son similares a los obtenidos por Worch et al. (2012) quienes estimaron los potenciales de perfiles ideales. Los resultados ponen en evidencia la consistencia del MEP generado con los datos del PF, debido a que la caracterización sensorial es similar al QDA® mientras que la explicación de la preferencia mediante el MEP-PF fue superior al MEP- QDA®, a causa de que se detectaron otros atributos sensoriales responsables de la preferencia y/o rechazo de los consumidores a la muestra; este efecto es una ventaja del PF sobre las metodologías de caracterización sensorial basadas en una lista común. Mediante este enfoque se pueden identificar los atributos sensoriales responsables de la preferencia, fundamentados en la percepción de los consumidores, sin necesidad de usar un vocabulario generado por un panel entrenado (Párente et al. 2011). Otra ventaja que presenta el PF es el tiempo para la caracterización sensorial, en este estudio el PF se realizó en un tiempo aproximado de 3.5 h, mientras que el perfil convencional se realizó en 25 h (Dehlholm et al. 2012). CONCLUSIONES El posicionamiento y la caracterización sensorial de las muestras fue similar en ambas técnicas sensoriales. Los mejores resultados del ajuste de los datos hedónicos-descriptivos para explicar la preferencia que tienen los consumidores a las muestras se obtuvieron mediante el MEP modelo vectorial obtenido con la técnica PF. Con el MEP-PF se obtuvo un mayor número de atributos sensoriales causantes del rechazo y de la preferencia de los consumidores de hamburguesas de barrilete negro. El uso del PF para la generación de MEP es una alternativa rápida y económica, la cual, puede ser comparada con el MEP convencional para la búsqueda de atributos que permitan tener conexión con la parte hedónica. LITERATURA CITADA AFNOR (1995) Recherche et sélection de descripteurs pour l’élaboration d’mun profil sensoriel par approceh multidimensionnelle. In: Analyse sensorielle NF ISO 11035 (ed) Association Française de la Normalisation. Paris, Francia, pp: 271-300. Ares G, Bruzzone F, Giménez A (2011) Is a consumer panel able to reliably evaluated the texture of dairy desserts using unstructured intensity scales? evaluation of global and individual performance. Journal of Sensory Studies 26: 363-370. Cadena R, Caimie D, Juanarena I, Lorenza I, Vidal L, Ares G, Deliza R, Giménez A (2014) Comparison of rapid sensory characterization methodologies for the development of functional yogurts. Food Research International 64: 446-455. Cariou V, Verdun S, Qannari EM (2014) Quadratic PLS regression applied to external preference mapping. Food Quality and Preference 32: 28-34. Dairou V, Sieffermann JM (2002) A comparison of 14 jams characterized by conventional profile and a quick original method, the flash profile. Journal of Food Science 67: 826-834. Dehlholm C, Brockhoff PB, Meinert L, Aaslyng MD, Bredie WLP (2012) Rapid descriptive sensory methods: Comparison of free multiple sorting, partial napping, napping, flash profiling and conventional profiling. Food Quality and Preference 26: 267-277. Endrizzi I, Gasperi F, Rodbotten M, Naes T (2014) Interpretation, validation and segmentation of preference mapping models. Food Quality and Preference 32: 198-209. Garcia O, Acevedo I, Ruiz J (2013) Análisis proximal, evaluación microbiologica y sensorial de carnes para hamburguesas elaboradas con cachama bianca (Piaractus brachypomus) y soya (Gkycine max) texturizada. Revista Venezolana de Ciencia y Tecnología de Alimentos 4: 219-236. Gkatzionis K, Hewson L, Hollowood T, Hort J, Dood CER, Linforth RST (2013) Effect of Yarrowia lipolytica on blue cheese odour development: Flash profile sensory evaluation of microbiological models and cheeses. International Dairy Journal 30: 8-13. Hein K, Jaeger S, Tom B, Delahunty C (2008) Comparison of five common acceptance and preference methods. Food Quality and Preference 19: 651-661. Lassoued N, Delarue J, Launay B, Michon C (2008) Baked product texture: Correlations instrumental and sensory characterization using Flash profile. Journal of Cereal Science 48: 133-143. Lê S, Worch T (2014) Analyzing Sensory Data with R. 1st Edition. Chapman &. Hall, CRC The R Series. California, USA. 285p. Malgarejo I, Maury M (2002) Elaboración de hamburguesas a partir de Prochylodus nigricans "Boquichico". Revista Amazónica de Investigación 2: 79-87. Párente M, Manzoni A, Ares G (2011) External preference mapping of commercial antiaging creams based on consumer's responses to a check-all-that-apply question. Journal of Sensory Studies 26: 158-166. Plaehn D (2009) A variation on external preference mapping. Food Quality and Preference 20: 427-439. Ramírez E, Ramón L, Shain J, Huante, Y, Juárez J, Martínez C, et al. (2010) Mapa externo de preferencias con datos instrumentales y sensoriales para la evaluación de salchichas de Euthynnus lineatus. Temas de Ciencia y Tecnología 14: 19-28. Schmidt T, Schilling M, Behrends J, Battula V, Jackson V, Sekhon R, et al. (2010) Use of cluster analysis and preference mapping to evaluate consumer acceptability of choice and select bovine M. longissimus Lumborum steaks cooked to various end-point temperatures. Meat Science 84: 46-53. Sester C, Dacremont C, Deroy O, Valentin D (2013) Investigating consumer's representations of beers through a free association task: A comparison between packaging and blind conditions. Food Quality and Preference 28: 475-483. Tomic O, Luciano G, Nilsen A, Hyldig G, Naes T (2010) Analyzing sensory panel performance in a proficiency test using the PanelCHECK software. European Food Research and Technology 230: 497-511. Vidal F, Ramírez E, Rodríguez J, Martínez E (2013) Elaboración de galletas enriquecidas con barrilete negro (Euthynnus lineatus): Caracterización química, instrumental y sensorial. Universidad y Ciencia 29: 287-300. Worch T, Lê S, Punter P (2010) How reliable are consumers? Comparison of sensory profiles from consumers and experts. Food Quality and Preference 21: 309-318. Worch T, Lê S, Punter P, Pages J (2012) Extension of the consistency of the data obtained with the Ideal Profile Method: would the ideal products be more liked than the tested products?. Food Quality and Preference 26: 74-80.